Matematika 1
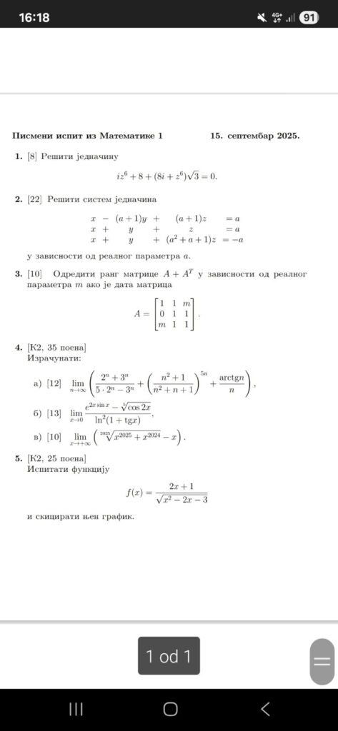
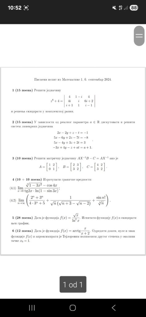
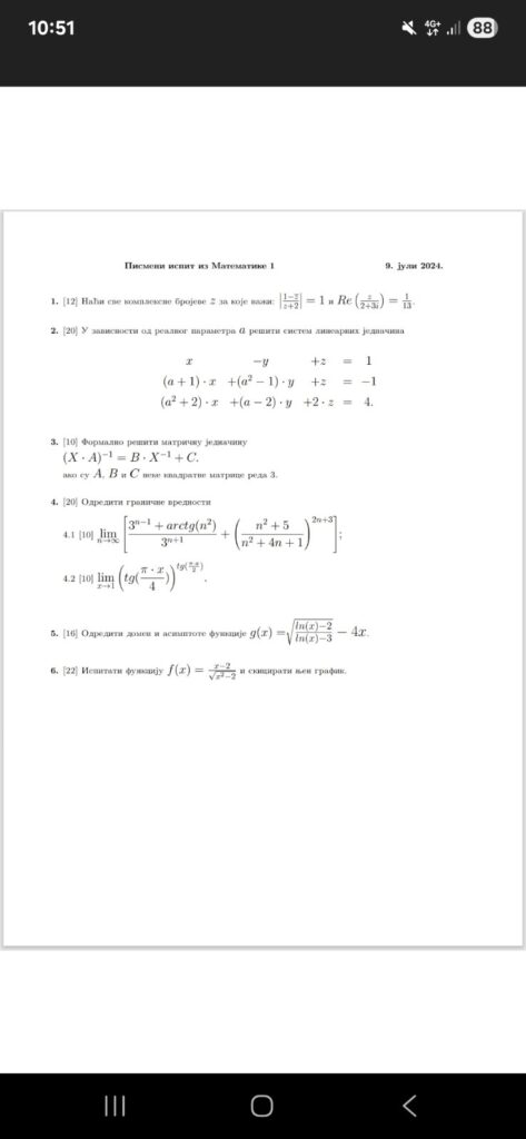
Pismeni ispit
Usmeni ispit
Kolokvijumi
Zadaci za domaci
Matematika 2
Pismeni ispit
Usmeni ispit
Kolokvijumi
Zadaci za domaci
Matematika 3
Pismeni ispit
Usmeni ispit
Kolokvijumi
Zadaci za domaci
Fizika
Pismeni ispit
Usmeni ispit
Kolokvijumi
Zadaci za domaci
Mehanika 1
Pismeni ispit
Usmeni ispit
Kolokvijumi
Zadaci za domaci
Elektrotehnika
Pismeni ispit
Usmeni ispit
Kolokvijumi
Zadaci za domaci
Operaciona Istraživanja
Pismeni ispit
Usmeni ispit
Kolokvijumi
Zadaci za domaci
Verovatnoća I Statistika
Pismeni ispit
Usmeni ispit
Kolokvijumi
Zadaci za domaci
Prijemni
Raniji prijemni
Pismeni ispit 8. septembar 2025
Proveri Oglasnu Tablu!
Klikni ovde!
This is default text for notification bar
Learn more