Pismeni ispit iz Matematike 3 24.9.2025

Pismeni ispit iz Matematike 3 8.9.2025

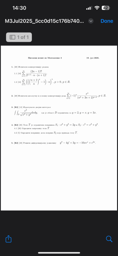
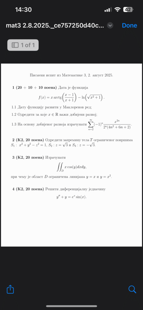
Pismeni ispit iz Matematike 3 19.7.2025

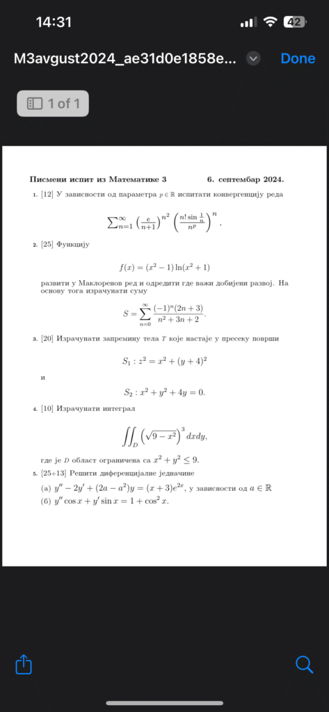
Pismeni ispit iz Matematike 3 16.8.2025

Proveri Oglasnu Tablu!
This is default text for notification bar